首页
>
党政工作
>
校务工作
[返回]
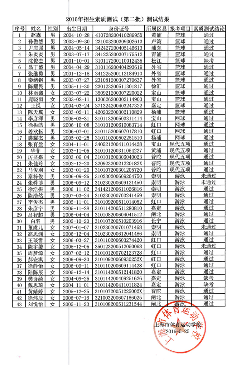
2016年报考学生身体素质测试结果公布(第二批)
信息来源: 本站原创
发布日期: 2016-05-25 15:18:18
浏览次数: